options(repos = c(CRAN = "https://cran.r-project.org"))
# Baixar pacotes do CRAN para a biblioteca
# install.packages("tidyverse")
# install.packages("skimr")
# install.packages("janitor")
# install.packages("esquisse")
# install.packages("ggthemes")
# install.packages("plotly")
# install.packages("gghighlight")
# install.packages("patchwork")
# install.packages("ggsci")
# install.packages("gapminder")
# install.packages("here")
# install.packages("gganimate")
# install.packages("scales")
# install.packages("GGally")
# install.packages("ggpmisc")CursoR - Introdução à análise de dados no R
Sobre o curso
Ministrante: Wasim Aluísio Prates Syed, Farmacêutico pela FCFRP-USP, doutorando em biotecnologia pelo ICB/IPT/Butantan, e divulgador científico pela UPVacina (IEARP-USP) e Projeto Halo (ONU).
Descrição do curso:
Desenvolvemos um curso para tornar o aprendizado de uma das linguagens de programação e análise de dados mais populares mais acessível, especialmente para aqueles que não têm formação em áreas de exatas, como TI e ciência da computação. Esta linguagem é amplamente utilizada por cientistas devido à sua variedade de ferramentas para análise de dados em ciências biológicas e da saúde. Com uma abordagem prática e interativa, os participantes explorarão conceitos e ferramentas para realizar análises de dados de forma simples e intuitiva. Além disso, terão acesso a um grupo de discussão para compartilhar dúvidas e ideias, criando um ambiente colaborativo e de aprendizado mútuo.
Programação e conteúdo
Os participantes terão uma aula introdutória à ciência de dados e fundamentos da manipulação de dados no R e visualização de dados com o ggplot, no ambiente do RStudio. Em seguida, os participantes terão um tempo para praticar e desenvolver as análises com 5 países de escolha, e no final deverão criar um poster com os gráficos produzidos.
Introdução ao R: Explicaremos por que o R é importante para cientistas e profissionais da saúde.
Fundamentos da Programação em R: Abordaremos conceitos como funções, pacotes, variáveis e estruturas de dados, como data frames, listas e matrizes.
Manipulação e Visualização de Dados: Exploraremos técnicas para importar, limpar, filtrar e visualizar dados usando pacotes do Tidyverse, como dplyr e ggplot2.
Análise Exploratória de Dados: Realizaremos análises exploratórias de dados, incluindo estatísticas descritivas, gráficos e interpretação de resultados. Aplicaremos os conhecimentos adquiridos em um projeto prático com dados reais de saúde, incluindo análise de vacinação e indicadores de saúde pública.
Como será o projeto:
O projeto consistirá na geração de pelo menos 5 gráficos acompanhados de discussões pertinentes, e terão direito a um certificado à parte. Para isso, durante o curso, serão apresentadas perguntas que poderão ser utilizadas para desenvolver o projeto. O objetivo principal é explorar os diversos tipos de gráficos disponíveis, formular perguntas pertinentes e explicar os padrões e comportamentos observados nos dados analisados.
Os participantes terão 1 mês para desenvolver o projeto, e poderão tirar dúvidas no grupo de WhatsApp e marcar uma mentoria individual, se necessário.
Quer saber mais sobre o curso e outros materiais que estamos desenvolvendo?
Siga-nos no Instagram (@cursocursor) e acesse nosso site!
Como usar este tutorial?
RStudio no navegador:
O R e o RStudio baixado para o desktop pode não ser a melhor opção para todos. Por isso, uma opção viável que encontramos seria usar o R na versão da nuvem, disponível no navegador. Para testar, entre em posit.cloud, crie uma conta, acesse seu login, clique em “New Project” e em “New Project from Git Repository” e cole o link: https://github.com/wapsyed/cursor.git. Isso abrirá o R studio no próprio navegador.
Para rodar este tutorial no R Studio Desktop:
Passo 1: Acesse o GitHub
- Abra o seu navegador web e vá para o site do GitHub em https://github.com/wapsyed/cursor.
Passo 2: Baixe o projeto
No repositório do GitHub, clique no botão verde “Code”.
Selecione “Download ZIP”. Isso iniciará o download do arquivo ZIP contendo o projeto.
Passo 3: Descompacte o arquivo ZIP
Após o download ser concluído, localize o arquivo ZIP em sua pasta de downloads.
Clique com o botão direito do mouse no arquivo ZIP e selecione “Extrair tudo” ou “Descompactar”.
Escolha a pasta de destino onde deseja descompactar o arquivo e clique em “Extrair”.
Passo 4: Configure o projeto no RStudio
Abra o RStudio em seu computador. Caso não o tenha, siga as instruções e baixe o R e o R Studio aqui.
No menu do RStudio, clique em “File” (Arquivo) e selecione “New Project” (Novo Projeto).
Escolha a opção “Existing Directory” (Diretório Existente).
Navegue até a pasta onde você descompactou o projeto.
Selecione a pasta do projeto com um clique.
Clique em “Create Project” (Criar Projeto).
Pronto! Agora você configurou o projeto do GitHub em seu RStudio e está pronto para começar a trabalhar.
Recomendações para evitar erros comuns
- Para encontrar este documento com as linhas de códigos, clique no arquivo RMD “
Introducao_analise_exploratoria.rmd”. Se clicar no.md, não funcionará.- Siga o tutorial todo neste documento ou crie uma copia para fazer as anotações. Não se preocupe, que modificar este arquivo aqui não mudará nada no original do site.
- Ao fazer a parte prática com suas análises, faça no mesmo documento. Se estiver muito complicado, mande mensagem no grupo do Whatsapp ou envie um e-mail. A prática deve ser fácil e descomplicada.
- Lembre-se de criar blocos de códigos abaixo dos blocos de códigos de exemplos do tutorial. Também, descreva os gráficos e códigos no espaço em branco, ou seja, fora do bloco de código. Isso garantirá que seu documento estará organizado e fácil de alterar.
Curtiu este material?
Estamos disponibilizando este material de forma gratuita para, de alguma forma, compartilhar um conhecimento de qualidade e acessível para todos. Se você achou um material de boa qualidade e gostou do nosso trabalho, que tal nos ajudar com um valor simbólico?
☕ Nos pague um café clicando neste link e contribuindo com o valor que puder: https://nubank.com.br/cobrar/vnb4e/664de10a-76e1-42b3-a566-1c1a1331cf22
Dia 1
1. Biblioteca e pacotes
Antes de rodarmos os códigos para as análises, é necessário instalar os pacotes cujos recursos, especialmente as funções, serão utilizados. Para isso, use o install.packages("pacote").
Nem sempre é necessário reinstalar os pacotes, pois isso toma tempo. Entretanto, é recomendável reinstalar os pacotes de vez em quando, para atualizar o pacote.
Observe que o código abaixo está com # antes da função. Ao rodar pela primeira vez, retire estes # e execute clicando na linha do código e apertando Ctrl + Enter. Isso executará linha por linha. Caso queira rodar todas as linhas de uma vez, use Ctrl + Shift + Enter.
Após a instalação, a cada vez que você fechar o ambiente do R, você deverá chamar os pacotes da biblioteca com a função library().
Lembre-se sempre de chamar os pacotes quando você iniciar uma nova sessão!
Não se preocupe com os “erros” dos outputs ao chamar as libraries, especialmente as do tidyverse.
# Chamando os pacotes da biblioteca
library(tidyverse) #Metapacote
library(skimr) #Diagnóstico de tabela
library(janitor) #Limpeza de tabelas
library(esquisse) #Plotagem de gráficos prática
library(ggthemes) #Temas de ggplot
library(plotly) #Gráficos interativos
library(patchwork) #Unir gráficos
library(gghighlight) #Marcar pontos e linhas
library(ggsci) #Paleta de cores
library(gapminder) #Dataset sobre população, PIB e expectativa de vida dos países
library(ggpmisc)
library(scales)
library(here)
library(gganimate)
library(GGally)2. Operações básicas
Podemos criar variáveis de diferentes classes, como numéricas (integer, double), textuais (string/character), e muitas outras. Além disso, essas variáveis podem ser nomeadas com o nome que você quiser, como letras e palavras.
Entretanto, não podem ter espaço entre si (variavel_a não é variavel a) e, por mais que funcionem com palavras em portugues acentuadas (“multiplicacão”), é uma boa prática nomeá-las da forma mais simples possível, como multiplicacao ou multi.
#Operações básicas -----
#Variáveis numéricas
x = 5
x[1] 5
y = 7
y[1] 7
z = y + x
z[1] 12
multi = x * y
multi[1] 35
As variáveis textuais são sempre definidas com aspas, mesmo sendo um número, como string = "5".
Dica de ouro: Nunca esqueça de fechar as aspas.
# Variáveis textuais (characters, string)
a = "Olá" #Uma palavra
a[1] "Olá"
b = "Tudo bem?" #Uma frase
b[1] "Tudo bem?"
Operações lógicas
Se usarmos operadores lógicos para determinar se o conteúdo de uma variável é igual (==), diferente (!=), maior (>) ou menor (<), os resultados retornarão TRUE ou FALSE.
# Comparações lógicas (booleanas)
a == b #Igual?[1] FALSE
a != b #Diferente?[1] TRUE
x < y # Menor?[1] TRUE
x > y # Maior?[1] FALSE
x <= 5 # Menor ou igual?[1] TRUE
E, se criarmos outras variáveis com nomes diferentes, mas com os mesmos valores, elas ainda continuarão dando o mesmo resultado.
aa = "Olá"
aa == a [1] TRUE
Vetores
Os vetores são uma sequência unidimensional que podem ser números, strings, valores lógicos, entre outros. Podemos criar vetores com a função c(), de “concatenar”.
Dica de ouro: Nunca deixe de fechar os parênteses em uma função, pois isso dará erro.
# Vetores
i = c(7, 5, 9, 10)
i[1] 7 5 9 10
j = c("Olá", "Caneta", "Qualificacao")
j[1] "Olá" "Caneta" "Qualificacao"
Perceba que, para um vetor ser classificado como numérico, todos os elementos têm de ser números, isto é, não estar dentro de aspas. Do contrário, se um elemento for uma string (contiver aspas), mesmo com um número dentro, do vetor inteiro será convertido em strings.
h = c(7, "10", 78)
h[1] "7" "10" "78"
Obtendo ajuda com funções
O c() é um exemplo de função. Toda função contem um nome seguido por parenteses. No caso da função c(), inserimos os elementos que temos interesse.
No entanto, outras funções que iremos aprender a seguir funcionam de forma diferente, muitas vezes intuitiva. Para acessar a documentação da função, use um ? antes da função e aguarde a aba de ajuda abrir.
# O que esta função faz? Use o "?" antes da função e rode.
?c()Dataframes e tibbles
Dataframes e tibbles são tabelas comuns e consistem de linhas e colunas de diferentes classes, como números, caracteres e fatores.
As tibbles são diferentes dos dataframes somente em sua apresentação no console e facilitam muito o trabalho com tabelas grandes e largas.
Além disso, a criação do dataframe e da tibble são diferentes visualmente. Enquanto no dataframe usamos a função data.frame() para criar colunas com linhas definidas por um vetor, na tibble esse código é semelhante à forma que imputamos dados no excel.
#Dataframes e tibbles -----
#Dataframe
data = data.frame(
nome = c("Gabriela", "Júlia", "Beatriz", "Luiza"),
altura = c(1.59, 1.60, 1.78, 1.73),
idade = c(30, 25, 31, 32)
)
dataE para criar uma tibble, usamos a função tribble().
#Tibble
tibble = tribble(
~nome, ~altura, ~idade,
"Gabriela", 1.59, 30,
"Júlia", 1.60, 25,
"Beatriz", 1.65, 31,
"Luiza", 1.73, 32
)
tibbleÉ possível transformar quase todo objeto em uma tabela.
Por exemplo, se pegarmos os vetores criados anteriormente e usarmos a função as.data.frame(), será criada uma coluna com o nome do vetor, seguida por linhas contendo os elementos do vetor. É padrão no tidyverse e no R de, ao converter uma estrutura de dados em outra, usar o “as”, como as.data.frame(), as.matrix(), as.vector(), etc.
# Vetores em dataframe
as.data.frame(i) #dataframe com coluna numéricaas.data.frame(j) #dataframe com coluna textualas.data.frame(h) #dataframe com coluna textual, mesmo com valores numéricosHá diferentes formas de se visualizar uma tabela.
A diferença de cada objeto está na visualização no console e no documento. Teste estas linhas de código no documento Markdown e no console.
#Visualizando o dataframe -----
# Com print()
print(data) #No documento ou console nome altura idade
1 Gabriela 1.59 30
2 Júlia 1.60 25
3 Beatriz 1.78 31
4 Luiza 1.73 32
print(tibble)# A tibble: 4 × 3
nome altura idade
<chr> <dbl> <dbl>
1 Gabriela 1.59 30
2 Júlia 1.6 25
3 Beatriz 1.65 31
4 Luiza 1.73 32
# Com nome do objeto
datatibble # Com glimpse(). #Descrição mais completa da tabela
glimpse(data) Rows: 4
Columns: 3
$ nome <chr> "Gabriela", "Júlia", "Beatriz", "Luiza"
$ altura <dbl> 1.59, 1.60, 1.78, 1.73
$ idade <dbl> 30, 25, 31, 32
glimpse(tibble)Rows: 4
Columns: 3
$ nome <chr> "Gabriela", "Júlia", "Beatriz", "Luiza"
$ altura <dbl> 1.59, 1.60, 1.65, 1.73
$ idade <dbl> 30, 25, 31, 32
# Com view() ou View(). A tabela completa com mais funcionalidades (filtragem manual, pesquisa e ordenamento) abrirá em uma nova janela
view(data)
view(tibble)
# Selecione o nome do objeto, segure Ctrl e clique com o botão direito do mouse.
datatibble Estatísticas gerais da tabela
O R possui uma função muito prática de análise estatística descritiva, a summary().
No entanto, existem outros pacotes que realizam essas análises e até geram relatórios em HTML.
Um deles é o skimr, cuja função skim() gera três outputs, um semelhante ao summary, e outras duas tabelas com a quantidade de valores não disponíveis (NA), estatísticas descritivas, e um histograma.
# Estatísticas gerais
summary(tibble) nome altura idade
Length:4 Min. :1.590 Min. :25.00
Class :character 1st Qu.:1.597 1st Qu.:28.75
Mode :character Median :1.625 Median :30.50
Mean :1.643 Mean :29.50
3rd Qu.:1.670 3rd Qu.:31.25
Max. :1.730 Max. :32.00
summary(data) nome altura idade
Length:4 Min. :1.590 Min. :25.00
Class :character 1st Qu.:1.597 1st Qu.:28.75
Mode :character Median :1.665 Median :30.50
Mean :1.675 Mean :29.50
3rd Qu.:1.742 3rd Qu.:31.25
Max. :1.780 Max. :32.00
# Usando skim
skim(tibble)| Name | tibble |
| Number of rows | 4 |
| Number of columns | 3 |
| _______________________ | |
| Column type frequency: | |
| character | 1 |
| numeric | 2 |
| ________________________ | |
| Group variables | None |
Variable type: character
| skim_variable | n_missing | complete_rate | min | max | empty | n_unique | whitespace |
|---|---|---|---|---|---|---|---|
| nome | 0 | 1 | 5 | 8 | 0 | 4 | 0 |
Variable type: numeric
| skim_variable | n_missing | complete_rate | mean | sd | p0 | p25 | p50 | p75 | p100 | hist |
|---|---|---|---|---|---|---|---|---|---|---|
| altura | 0 | 1 | 1.64 | 0.06 | 1.59 | 1.60 | 1.62 | 1.67 | 1.73 | ▇▁▃▁▃ |
| idade | 0 | 1 | 29.50 | 3.11 | 25.00 | 28.75 | 30.50 | 31.25 | 32.00 | ▃▁▁▃▇ |
skim(data)| Name | data |
| Number of rows | 4 |
| Number of columns | 3 |
| _______________________ | |
| Column type frequency: | |
| character | 1 |
| numeric | 2 |
| ________________________ | |
| Group variables | None |
Variable type: character
| skim_variable | n_missing | complete_rate | min | max | empty | n_unique | whitespace |
|---|---|---|---|---|---|---|---|
| nome | 0 | 1 | 5 | 8 | 0 | 4 | 0 |
Variable type: numeric
| skim_variable | n_missing | complete_rate | mean | sd | p0 | p25 | p50 | p75 | p100 | hist |
|---|---|---|---|---|---|---|---|---|---|---|
| altura | 0 | 1 | 1.68 | 0.09 | 1.59 | 1.60 | 1.67 | 1.74 | 1.78 | ▇▁▁▃▃ |
| idade | 0 | 1 | 29.50 | 3.11 | 25.00 | 28.75 | 30.50 | 31.25 | 32.00 | ▃▁▁▃▇ |
Pivotando tabelas: Long e Wide
As tabelas tidy possuem dois formatos, um largo (wide) e outro longo (long). Converter uma em outra é conhecido como pivotagem, e conhecer essas funções é importantíssimo para obter, manipular e explorar dados.
Para pivotar, utilizamos pivot_longer() e pivot_wider(). A pivotagem deve ser pensada com base na relação entre variáveis e seus valores.
Por exemplo, se tivermos uma tabela larga com 10 colunas com anos (de 1990 a 2000), podemos reduzi-las em uma só coluna chamada “anos”, que facilitará a manipulação de dados. Isso alongará a tabela.
No exemplo abaixo, simplificamos todas as variáveis (idade e altura) em uma coluna (variavel), e jogamos os valores para uma única coluna (valor).
# Trabalhando com dataframes -----
#Transformando outros formatos em dataframe
# Long table
data_long = pivot_longer(data, #Tabela
cols = c(altura, idade), #Colunas para alongar
values_to = "valor", # Estocar valores em uma nova coluna
names_to = "variavel" # Estocar variáveis em uma nova coluna
)
datadata_longMas, se quisermos deixá-la mais fácil de ser interpretada por humanos, podemos pivotá-la em uma tabela larga, igual à tabela original.
# Wide table
data_wide = pivot_wider(data_long, #Tabela
names_from = variavel, #Dividir níveis de uma coluna em novas colunas
values_from = valor) #Estocar valores relacionados à coluna nome
#e novas variáveis)
data_wideMatrizes
É importante saber manipular matrizes para computar análises estatísticas, como a Principal Components Analysis.
As matrizes são estruturas tabelares cujos valores são somente numéricos. Ou seja, não podemos ter uma coluna com strings, por exemplo.
Para isso, é necessário converter a coluna de “nomes” (strings) em nomes de linhas (rownames) usando a função column_to_rownames(), e então converter a tabela em matriz, com o as.matrix().
A diferença aqui é a apresentação da tabela. Enquanto dataframes e tibbles são facilmente lidas, as matrizes são mais complicadas nesse sentido.
#Matriz
matrix = as.matrix(data) #Transformar tabela em matriz
matrix #Os valores numéricos são strings nome altura idade
[1,] "Gabriela" "1.59" "30"
[2,] "Júlia" "1.60" "25"
[3,] "Beatriz" "1.78" "31"
[4,] "Luiza" "1.73" "32"
data_matrix = column_to_rownames(data, "nome") #Converte coluna em rownames
matrix = as.matrix(data_matrix)
matrix #Agora, os valores são numéricos altura idade
Gabriela 1.59 30
Júlia 1.60 25
Beatriz 1.78 31
Luiza 1.73 32
Caso você queira manipular a matriz com as funções do tidyverse, é recomendável reconvertê-la em dataframe/tibble, manipular os dados, e depois converter novamente para matriz.
# Reconverter para dataframe
matrix_dr = as.data.frame(matrix)
matrix_dr # Coluna "nome" continua como rownames e dificulta a manipulação.matrix_dr = rownames_to_column(matrix_dr, "nome") #Converter rownames em nova coluna
matrix_drListas
Listas são estruturas que podem conter um conjunto de elementos de diferentes classes, como vetores, outras listas, dataframes, e matrizes.
Elas são interessantes para organizar os objetos necessários para uma análise, e são muito comuns em análises de RNAseq, por exemplo.
#Criando a lista
lista = list(a, b, h, j, multi, data, matrix, tibble)
#View(lista) #Visualizando a lista
#Acessando objetos diferentes da lista
lista[[1]] #Primeiro objeto[1] "Olá"
lista[[8]] #Oitavo objeto#Isolando o objeto
df_list = lista[[8]]
df_listManipulação de tabelas com o R base
O R possui funções e formas nativas de acessar e manipular tabelas. Essas operações, como as descritas abaixo, não são mais a melhor forma de trabalhar, pois são pouco intuitivas, e vamos usar outras muito melhores a seguir. Mas, é importante conhecê-las, pois, são utilizadas em alguns casos.
Para acessar uma coluna no dataframe, digite o nome do dataframe seguido por $ e o nome da coluna (data$coluna). Se você não lembra o nome da coluna, você pode digitar data$ e apertar Tab.
# Acessando colunas do data frame
data$nome[1] "Gabriela" "Júlia" "Beatriz" "Luiza"
data$idade[1] 30 25 31 32
Para adicionar uma nova coluna e preencher seus valores, crie um vetor com os valores e insira nessa coluna.
# Criando nova variável para não sobrescrever a tabela original para os próximos exemplos
data_2 = data
# Adicionando uma nova coluna ao data frame
data_2$peso = c(70,
65,
80,
20)
data_2Para remover uma coluna, abra os colchetes [linha, coluna] após o nome do dataframe, selecione o índice da coluna e adicione um -. Os colchetes definem as linhas (antes da vírgula) e as colunas (depois da vírgula). Um pouco muito confuso, né?
# Removendo uma coluna do data frame
data_2 = data_2[ , -4]Para filtrar e reordenar os dados, é ainda pior.
# Filtrando linhas do data frame. df[linha, coluna]
data_jovens = data_2[data_2$idade < 30, ]
data_jovens# Ordenando o data frame por uma coluna
data_ordenados <- data_2[order(data_2$idade), ]
data_ordenados3. Tidyverse
O tidyverse é um metapacote, um pacote com diversos pacotes dentro, que facilita muito o trabalho no R. As funções conversam entre si, são padronizadas e, mais importante, são muito intuitivas.
add_row() e add_column(): Adicionando linhas e colunas
Para adicionar uma linha com valores, usamos o add_row(), e para adicionar uma nova coluna com valores, usamos o add_column(). Bem intuitivo, né?
Para não alterarmos as tabelas originais, criamos uma nova variável chamada data_2 e tibble_2. Entretanto, não é necessário sempre criar uma variável para cada operação que fizermos.
#Adicionar linha
data_2 = add_row(data,
nome = "Rafaela",
idade = 50,
altura = 1.85)
data_2tibble_2 = add_row(tibble,
nome = "Rafaela",
idade = 50,
altura = 1.85)
tibble_2#Adicionar coluna
data_2 = add_column(data_2,
peso = c(50,
80,
40,
100,
70))
data_2tibble_2 = add_column(tibble_2,
peso = c(50,
80,
40,
100,
70))
tibble_2filter(): Filtrando linhas e usando o pipe
Sempre que estivermos manipulando linhas, utilizamos o verbo “filtrar”. No tidyverse, mais especificamente no pacote dplyr, usamos a função filter() e estabelecemos argumentos lógicos para a filtragem.
# Filtrando linhas ----
idade = filter(data, idade <= 30)
idade_nome = filter(idade,
nome == "Júlia")
idade_nomeMas, e se eu quiser filtrar usando mais operações?
Temos duas formas de fazer isso.
A primeira é usando “OU” (|) e %in% c(). Veja que os resultados são iguais, mas a forma de escrever é diferente. No primeiro caso, temos de repetir “nome ==” a cada valor que quisermos incluir. No segundo caso, somente criamos um vetor com os valores separados por vírgula.
#Usando OU (|)
filter(data, nome == "Júlia" |
nome == "Gabriela")#Usando %in% c()
filter(data, nome %in% c("Júlia", "Gabriela")) E a segunda é usando o pipe (%>%), que permite “costurar” operações e resultados. Dessa forma, não precisamos criar uma variável/objeto sempre que uma função for aplicada. Usaremos muito o pipe nos próximos códigos.
Abaixo, pegamos uma tabela, filtramos por idade e, então, filtramos somente linhas que contêm um valor. No caso, pegamos as linhas com idade maior ou igual a 30 e, depois, aquelas que contêm o nome “Gabriela”.
# Usando o pipe "%>%" (lê-se "e então")
data %>% # Tenho este objeto
filter(idade >= 30) %>% # E então vou filtrar os indivíduos com mais de 30 anos
filter(nome == "Gabriela") # E então vou filtrar os indivíduos chamados "Gabriela"select(): Selecionando colunas
Da mesma forma que trabalhamos com linhas usando filter(), ao trabalhar com colunas, usamos o select().
A função select é muito versátil, e além de selecionar colunas que você quer trabalhar, podemos reordená-las e renomeá-las manualmente.
Para isolar a(s) coluna(s), use select(coluna), que você produzirá uma tabela com somente aquela coluna.
Para retirar uma coluna, use o - ou o !.
Para reordenar, use select(coluna, everything()). Aqui, você coloca a coluna de interesse em primeiro lugar e todas as outras restantes em sequência.
# Selecionando colunas ----
# Selecionar colunas específicas
data_2 %>%
select(nome, altura) # Selecionar da coluna nome (1) à coluna peso (4)
data_2 %>%
select(nome:idade) #Retirando coluna
data_2 %>%
select(-idade) data_2 %>%
select(!idade)#Reordenando coluna
data_2 %>%
select(idade, everything())Para renomear uma coluna, é possível também usar o select().Mas, cuidado, pois ao renomeá-las, se esquecermos do “everything()”, ficamos somente com a coluna renomeada.
Por isso, temos a função rename(), que evita que isso aconteça.
#Renomeando coluna
data_2 %>%
select(age = idade, everything())#Renomeando coluna com rename
data_2 %>%
rename(age = idade) #Retirando colunamutate(): Criando e realizando operações com novas variáveis
A função mutate() permite criar ou modificar colunas e imputar valores usando funções que se aplicarão a todas as linhas daquela coluna. Por exemplo, podemos criar a coluna imc com o IMC todos os indivíduos, que é calculado com a razão do peso e a altura ao quadrado.
# Criando novas variáveis
data_2 = data_2 %>%
mutate(imc = peso / (altura^2)) #Para cada linha da tabela,
#pegaremos o valor do peso e dividiremos
#pela altura ao quadrado.Além disso, podemos criar uma coluna com o sexo daquele indivíduo. Como sabemos que todos são “feminino”, podemos fazer dessa forma.
data_2 %>%
mutate(sexo = "feminino") #Como todas as linhas contêm nomes #femininos, criaremos a coluna sexo
#com o valor "feminino"if_else e case_when(): Condições
Mas, podemos também usar um argumento lógico também.
Por exemplo, podemos criar uma coluna que classificará se a pessoa está acima ou abaixo de um IMC específico, a partir dos valores da coluna imc.
Isso é feito com a função if_else(), que é lida da seguinte forma: se isso for verdadeiro, dê o valor “A”, do contrário, “B”. No caso aqui, se a pessoa tiver um IMC acima de 25, ela será considerada com sobrepeso, e se for abaixo, será classificada como normal.
data_2 %>%
mutate(classificacao = if_else(imc > 25, "sobrepeso", "normal"))Mas, sabemos que o IMC pode ser classificado com outras categorias. Para isso, temos duas formas de classificar. A primeira é usando o if_else() imputando os valores manualmente e deixando os valores que ainda não foram categorizados como NA, e depois, de criar a primeira categoria, criamos a segunda categoria e deixamos os que já estavam na coluna.
data_2 %>%
mutate(classificacao = if_else(imc >= 25 & imc <= 30 , "sobrepeso", NA),
classificacao = if_else(imc > 30, "obesidade 1", classificacao),
classificacao = if_else(imc >= 18.5 & imc <25, "normal",classificacao),
classificacao = if_else(imc < 18.5, "magreza",classificacao))Veja que, depois da segunda linha de if_else, isso fica confuso de entender. Por isso, usamos o case_when(), que é um if_else mais versátil e deixa o código mais limpo e fácil de ler.
data_2 = data_2 %>%
mutate(classificacao = case_when(imc >= 25 & imc <= 30 ~ "sobrepeso",
imc > 30 ~ "obesidade 1",
imc >= 18.5 & imc < 25 ~ "normal",
imc < 18.5 ~ "magreza"))summarize(): resumindo estatísticas
A função summarize() (ou summarise()) aplica a mesma lógica, mas a tabela gerada é muito menor, e se aplica à variável de interesse na tabela. Por exemplo, se quisermos obter a média (mean()), e a soma (sum()) das linhas de uma coluna, a summarize é capaz de fazer isso.
# Resumindo dados
data_2 %>%
summarize(Media_idade = mean(idade))data_2 %>%
summarize(Soma_idade = sum(idade))group_by: Agrupando dados
Em muitos casos, nós queremos realizar cálculos com categorias ou grupos diferentes. Por exemplo, considere que queremos saber a média (mean()) das idades por categoria da classificação pelo IMC, e além disso, queremos contar os indíviduos em cada categoria (n()). Para isso, temos de agrupar os dados por categorias (sobrepeso, normal, etc.) de uma variável (classificacao). Isso é feito com o group_by() seguido pelo summarize().
#Média dos grupos
data_2 %>%
group_by(classificacao) %>%
summarize(Media_idade = mean(idade))#Contagem
data_2 %>%
group_by(classificacao) %>%
summarize(individuos = n())arrange(): Ordenando dados
Podemos ordenar os dados de forma crescente e decrescente usando o arrange().
# Ordenando dados de forma crescente
data_2 %>%
arrange(idade)# Ordenando de forma decrescente
#Método 1
data_2 %>%
arrange(desc(idade))#Método 2
data_2 %>%
arrange(-idade)Joins: merging/unindo tabelas
Na rotina de análise dados, temos de lidar com diferentes tabelas que, muitas vezes, estão associadas entre si por algum elemento. Por exemplo, podemos ter uma tabela com os dados antropométricos (altura, idade e peso) para cada indivíduo e outra com informações pessoais, como endereço, telefone, etc.
“Uai, mas não posso ter tudo em uma tabela só?”. Pode, mas precisamos considerar que uma tabela com todos esses dados não são necessariamente úteis em todo o processo. Acima, avaliamos o IMC de cada indivíduo e não seria interessante saber o endereço de cada um. Mas, se tivermos uma tabela enorme, com milhões de pessoas, podemos procurar estabelecer uma associação entre peso e endereço, por exemplo. Ou mesmo encontrar relações entre essas variáveis e a incidência de alguma doença infecciosa.
Dessa forma, é importante construir e dividir tabelas para facilitar nossa manipulação de dados e, não menos importante, reduzir o tamanho dos arquivos individuais.
Para ilustrar isso, vamos criar uma tabela chamada endereco, que contem o nome, cidade e bairro de cada indivíduo.
endereco = tribble(~nome, ~cidade, ~bairro,
"Gabriela", "São Paulo", "Consolação",
"Júlia", "Ribeirão Preto", "Cidade Universitária",
"Beatriz", "Cuiabá", "Centro",
"Luiza", "São Paulo", "Centro",
"Thaís", "São Paulo", "Butantã")
enderecoUma forma de unir a tabela data_2 com a tabela endereco é pelas linhas de uma coluna em comum, no caso a coluna nome. Essa operação é chamada de merging. Para isso, temos as funções *_join(). O *_ seguido por join() significa que existem nomes diferentes de funções que terminam com “join” e fazem algo parecido.
inner_join()
Uma dessas funções é a inner_join(), que somente une as linhas correspondentes de duas tabelas. Ou seja, se tem uma linha com o nome X nas tabelas 1 e 2, as colunas das tabelas 1 e 2 serão unidas. Se existir uma linha com o nome X na tabela 1, mas não na tabela 2, então as colunas não serão unidas para aquela linha. Confuso, mas você vai entender visualizando aqui.
data_2 %>% #Tabela original (tabela 1)
inner_join(endereco, #Tabela para unir (tabela 2)
by = "nome") #Coluna correspondenteVeja que a “Rafaela” não foi incluída, porque não havia dados sobre ela na tabela de endereços.
left_join()
Mas, suponhamos que seria interessante saber quem da tabela 1 não tem endereço cadastrado e, dessa forma, podemos procurar registrar em outra ocasião. Para isso, temos o left_join(). Nele, em vez de não mostrar a linha da Rafaela na nova tabela, a função inclui valores NA nessa linha. A função tem o nome de “left” porque considera a tabela 1 como a tabela da esquerda. Em outras palavras, queremos anotar todas as linhas da tabela da esquerda (tabela 1) com os dados da tabela da direita (tabela 2) a partir dos elementos da coluna em comum chamada “nome”.
data_2 %>% #Tabela original (tabela 1)
left_join(endereco, #Tabela para unir (tabela 2)
by = "nome") #Coluna correspondenteanti_join()
Da mesma forma, podemos obter somente as linhas que estão na tabela 1, mas não na tabela 2. Isso é feito com a função anti_join(). O output dela é somente a linha da Rafaela com as colunas da tabela 1.
data_2 %>% #Tabela original (tabela 1)
anti_join(endereco, #Tabela para unir (tabela 2)
by = "nome") #Coluna correspondenteright_join()
Observe que a tabela endereco também tem uma linha que não está na tabela 1, a “Thais”, e que ela não foi mostrada nas funções anteriores. Para incluir, podemos usar o right_join(), que assim como o left_join(), mostra todas as linhas de uma tabela, incluindo aquelas que não estão na outra. No caso, ela mostra todas as linhas da tabela 2, mesmo aquelas que não estão anotadas com os dados da tabela 1. Além disso, ela não mostra as linhas da tabela 1 que não estão na tabela, no caso “Rafaela”.
data_2 %>% #Tabela original (tabela 1)
right_join(endereco, #Tabela para unir (tabela 2)
by = "nome") #Coluna correspondentefull_join()
Agora, se quisermos ter uma tabela completa, com todas as linhas das tabelas 1 e 2, mesmo aquelas que não correspondem entre si, usamos a função full_join().
data_2 %>% #Tabela original (tabela 1)
full_join(endereco, #Tabela para unir (tabela 2)
by = "nome") #Coluna correspondenteUsando o pipe para fazer múltiplas operações de uma vez
Usando o pipe, podemos escrever e ler códigos em uma sequência lógica fácil.
Por exemplo, abaixo:
- pegamos a tabela
data_2, ordenamos a altura na ordem crescente,- filtramos somente as pessoas com idade acima de 30 e peso acima de 50 e retiramos os nomes.
- Depois, arredondamos os valores do IMC para uma casa decimal (usando
round())e criamos uma nova variável chamadapeso_x_idade.- Por fim, resumimos os dados usando a média do peso e a média do imc, e criamos uma variável chamada
mega_pipe
# Múltiplas operações em uma caixa
mega_pipe = data_2 %>%
arrange(altura) %>%
filter(idade >= 30,
peso >= 50) %>%
select(-nome) %>%
mutate(imc = round(imc, 1),
peso_x_idade = peso * idade) %>%
summarise(mean_peso = mean(peso),
mean_peso = round(mean_peso, 1),
mean_imc = mean(imc) %>% round(1))
mega_pipe4. Visualização
A visualização com o ggplot2 é feito em camadas. Primeiro, temos um dataframe com os dados de interesse, depois chamamos a função ggplot() e adicionamos um +, que funciona aqui como um pipe, mas somente para gráficos. A partir disso, temos de mapear os eixos, cores, tamanho, etc. com as variáveis de interesse, usando o aes(). Para definir qual tipo de gráfico iremos criar, temos de definir a geometria (geom_), que no caso é de pontos (geom_point()). Isso já produz um gráfico, mas não é um dos melhores.
Gráfico de barras
data_2 %>%
ggplot() +
aes(x = nome,
y = imc) +
geom_col()
Para melhorar, podemos adicionar mais funções, como labels para os pontos do gráfico (geom_label()), um tema pré-definido (theme_few()) ou customizável (theme()), e título para o gráfico, eixos, e legendas (labs()). Além disso, para reordenar os valores de uma variável categórica, como os países, por uma variável numérica, usamos o fct_reorder() dentro do mutate().
data_2 %>%
ggplot() +
aes(x = fct_reorder(nome, -imc), #Mapeando variáveis
y = imc) +
geom_col() + #Geometria
theme_few() + #Tema
labs(x = "Nome", #Títulos
y = "IMC",
title = "Índice de massa corporal por pessoa")
Observe que a fonte dos eixos x e y estão muito pequenas e difíceis de visualizar. Conseguimos mudar facilmente esses atributos usando a função theme() e os argumentos axis.text.x e axis.text.y. Além disso, podemos melhorar o título do gráfico, deixando-o em negrito (face = "bold") e centralizado ou justificado ao meio (hjust). Para isso, devemos usar a função element_text(), que aceita como parâmetros size, color, face, angle, etc. Não confunda com theme_few() ou qualquer outro tema pronto. Veja também que, quando adicionamos modificações no theme(), o theme_few() permanece como estava.
data_2 %>%
ggplot() +
#Mapeando variáveis
aes(x = fct_reorder(nome, -imc),
y = imc) +
#Geometria
geom_col() +
#Tema pré-estabelecido
theme_few() +
#Modificando o tema
theme(axis.text.x = element_text(size = 10,
color = "black"),
axis.text.y = element_text(size = 10,
color = "black"),
plot.title = element_text(size = 12,
color = "black",
hjust = 0.5,
face = "bold")) +
#Títulos
labs(x = "Nome",
y = "IMC",
title = "Índice de massa corporal por pessoa")
Cores
Agora, vamos adicionar cores ao gráfico. Como vamos preencher os retângulos de acordo com os valores de uma variável (classificacao), atribuimos o nome da variável ao argumento fill em aesthetics (aes()). Adicionalmente, vamos renomear o título da legenda para o fill usando a função labs() e deixar os níveis começando com a letra maíuscula usando a função scale_fill_discrete().
data_2 %>%
ggplot() +
#Mapeando variáveis
aes(x = fct_reorder(nome, -imc),
y = imc,
fill = classificacao) +
#Geometria
geom_col() +
#Tema pré-estabelecido
theme_light() +
#Modificando o tema
theme(axis.text.x = element_text(size = 10,
color = "black"),
axis.text.y = element_text(size = 10,
color = "black"),
plot.title = element_text(size = 12,
color = "black",
hjust = 0.5,
face = "bold")) +
#Títulos
labs(x = "Nome",
y = "IMC",
title = "Índice de massa corporal por pessoa") +
#Renomeando levels
scale_fill_discrete(labels = c("magreza" = "Magreza",
"normal" = "Normal",
"obesidade 1" = "Obesidade I")) 
Por padrão, o ggplot2 utiliza uma paleta de cores nativa, mas podemos especificar a de nosso interesse. Existem diversos pacotes com paletas pré-definidas. Um dos pacotes é o ggsci, que apresenta as paletas dos principais journals acadêmicos, como a Nature, Science, e a The Lancet, além de filmes e séries de ficção, como jama, Tron e Futurama. Para acessar as paletas, use vignette("ggsci"), e para visualizar os códigos das cores, especifique a paleta usando pal_ e depois show_col(). Aqui, usaremos a paleta dos jama. Definir as paletas é uma etapa importante para garantir a padronização dos gráficos no seu trabalho.
# Cores
#Mudando a paleta
vignette("ggsci")
jama = pal_jama("default", #Especificar paleta
alpha = 0.7)(8) #Gerar 8 cores com transparencia = 70%
jama %>%
show_col()
data_2 %>%
ggplot() +
#Mapeando variáveis
aes(x = fct_reorder(nome, -imc),
y = imc,
fill = classificacao) +
#Adicionando geometrias
geom_col() +
#Tema pré-estabelecido
theme_light() +
#Adicionando títulos
labs(x = "Nome",
y = "IMC",
title = "Índice de massa corporal por pessoa",
fill = "Classificação") +
#Modificando o tema
theme(axis.text.x = element_text(size = 10,
color = "black"),
axis.text.y = element_text(size = 10,
color = "black"),
plot.title = element_text(size = 12,
color = "black",
hjust = 0.5,
face = "bold")) +
#Renomeando levels
scale_fill_discrete(labels = c("magreza" = "Magreza",
"normal" = "Normal",
"obesidade 1" = "Obesidade I")) +
scale_fill_jama()Scale for fill is already present.
Adding another scale for fill, which will replace the existing scale.

E se quisermos definir uma paleta manualmente, podemos usar a função scale_fill_manual(), na qual atribuimos as cores específicas a cada categoria. Observe que podemos escrever o nome da cor ou o código, e o RStudio interpretará no próprio bloco de código. Para ver mais cores, acesse o site coolors.co. Lembre-se de sempre adicionar um # antes do código da cor.
barras = data_2 %>%
ggplot() +
aes(x = fct_reorder(nome, -imc),
y = imc,
fill = classificacao) +
geom_col() +
labs(x = "Nome", #Títulos
y = "IMC",
title = "Índice de massa corporal",
fill = "Classificação") +
#Tema pré-estabelecido
theme_light() +
#Modificando o tema
theme(axis.text.x = element_text(size = 10,
color = "black"),
axis.text.y = element_text(size = 10,
color = "black"),
plot.title = element_text(size = 12,
color = "black",
hjust = 0.5,
face = "bold")) +
scale_fill_discrete(labels = c("magreza" = "Magreza",
"normal" = "Normal",
"obesidade 1" = "Obesidade I")) +
scale_fill_manual(values = c("magreza" = "red",
"normal" = "blue",
"obesidade 1" = "#ffb703"))Scale for fill is already present.
Adding another scale for fill, which will replace the existing scale.
barras
Gráfico de dispersão
Um gráfico com pontos que relaciona duas variáveis numéricas é interessante para visualizar uma associação. Vamos fazer exatamente o que fizemos com os gráficos de barras, mas agora definiremos a geometria com geom_point() e a cor será definida pelo argumento color. Ao definirmos as cores de pontos e linhas (unidimensionais), usamos color, e no caso de formas geométricas bidimensionais como barras e colunas, usamos fill. Além disso, podemos adicionar uma paleta de cores para cada nível da variável classificacao com scale_color_*().
data_2 %>%
ggplot() +
aes(x = peso,
y = imc,
color = classificacao) +
geom_point() +
#Títulos
labs(x = "Peso (kg)",
y = "IMC",
title = "Índice de massa corporal versus peso",
color = "IMC") +
#Tema pré-estabelecido
theme_light() +
#Modificando o tema
theme(axis.text.x = element_text(size = 10,
color = "black"),
axis.text.y = element_text(size = 10,
color = "black"),
plot.title = element_text(size = 12,
color = "black",
hjust = 0.5,
face = "bold")) +
#Cores
scale_color_jama()
Além disso, podemos criar um gradiente usando scale_color_gradient() e definindo as cores pros valores mínimo e máximo.
data_2 %>%
ggplot() +
aes(x = peso,
y = imc,
color = imc) +
geom_point() +
#Títulos
labs(x = "Peso (kg)",
y = "IMC",
title = "Índice de massa corporal versus peso",
color = "IMC") +
#Tema pré-estabelecido
theme_light() +
#Modificando o tema
theme(axis.text.x = element_text(size = 10,
color = "black"),
axis.text.y = element_text(size = 10,
color = "black"),
plot.title = element_text(size = 12,
color = "black",
hjust = 0.5,
face = "bold")) +
#Gradiente de cores
scale_color_gradient(low = "yellow",
high = "brown",
na.value = NA)
Adicionando mais geoms
Por enquanto, somente visualizamos gráficos com uma geometria, mas podemos adicionar mais de uma. Agora, adicionaremos uma linha (geom_line()) para conectar os pontos. Além disso, vamos definir outros parâmetros para essas geometrias, como espessura (size) da linha e do ponto. Lembre-se que o ggplot2 é um sistema de camadas, então se adicionarmos a linha antes dos pontos no código, os pontos irão se sobrepor às linhas.
linha = data_2 %>%
ggplot() +
#Mapping
aes(x = peso,
y = imc,
color = imc) +
#Geometrias
geom_line(size = 2) +
geom_point(size = 4) +
#Títulos
labs(x = "Peso (kg)",
y = "IMC",
title = "Índice de massa corporal versus peso",
color = "IMC") +
#Tema pré-estabelecido
theme_light() +
#Modificando o tema
theme(axis.text.x = element_text(size = 10,
color = "black"),
axis.text.y = element_text(size = 10,
color = "black"),
plot.title = element_text(size = 12,
color = "black",
hjust = 0.5,
face = "bold")) +
#Gradiente de cores
scale_color_gradient(low = "yellow",
high = "brown",
na.value = NA)Warning: Using `size` aesthetic for lines was deprecated in ggplot2 3.4.0.
ℹ Please use `linewidth` instead.
linha
Salvando figuras
Para salvar uma figura, vamos usar a função ggsave() e definir como tipo de arquivo .png e usar a função here(), que especifica o caminho do diretório ao qual salvaremos a figura. No caso, salvaremos dentro da pasta “Figuras”.
Há diferentes tipos de arquivos, como jpeg e tiff, mas usaremos o png por ser muito comum e também ser aceito por diferentes programas de edição, como o Google Slides, Powerpoint e Canva. Além disso, vamos definir também as dimensões da imagem final.
linha %>%
ggsave(file = here("Figuras","linha_imc.png"), width = 5, height = 5)Uma outra forma de salvar a imagem é colar linha no console, printá-la (apertar Enter) e salvar diretamente da aba “Plots”. Você poderá salvá-la como .png ou como pdf também!
Gráfico interativo: Plotly
Em alguns casos, converter um gráfico estático em um interativo é muito interessante para explorar os dados, especialmente em gráficos com pontos mais complexos do que este. Para isso, usamos o pacote plotly.
linha %>%
ggplotly() Visualização rápida com o Esquisse
O pacote esquisse é uma ferramenta interativa para a construção de gráficos, de forma rápida e intuitiva.
Lembre-se de retirar os # antes de rodar. Teste todos os parâmetros, como filtragem, cores, escalas, e veja como os dados se comportam nos diferentes tipos de gráficos. Observe também, no botão do lado inferior direito, que você pode gerar os códigos do gráfico e copiar para o bloco de código. Dessa forma, você automatiza seu gráfico sem precisar ficar abrindo esta janela sempre.
# data_2 %>%
# esquisser()Uma figura, mais gráficos
Geramos diferentes gráficos acima. Entretanto, é interessante uni-los em uma só imagem. Afinal, são os mesmos dados explorados de formas diferentes. Para isso, temos o pacote patchwork, que funciona da forma mais simples possível usando operadores matemáticos, como +, / e ().
Para colocar um gráfico do lado do outro, use +.
linha + barras + plot_layout(guides = "collect")
E para colocar um gráfico em cima do outro, use /.
linha / barras + plot_layout(guides = "collect")
Para salvar, usaremos a mesma função ggsave().
linha_barra = linha / barras + plot_layout(guides = "collect")
ggsave(linha_barra, file = here("Figuras","linha_barra.png"), width = 10, height = 5)Dia 2
5. Trabalhando com dados reais
Importando tabelas
Podemos importar tabelas de forma manual, clicando no nome do arquivo no quadrante onde encontramos a aba “Files” e selecionando “Import dataset”, que é realizado pelo pacote readr.
Caso queira deixar automatizado, você pode copiar o código que é gerado e colar no seu bloco de código aqui.
A função read_csv() acessa o local do seu arquivo (no caso, do tipo .csv) e o importa para o ambiente do R. Existem funções para importar cada tipo de arquivo, como excel, tsv, etc.
#Pelo readr
cobertura_vacinal <- read_csv(here("Tabelas", "cobertura_vacinal_anotada.csv")) Rows: 63717 Columns: 10
── Column specification ────────────────────────────────────────────────────────
Delimiter: ","
chr (8): name, country_abrev, vaccine, region, type, diseases, region_comple...
dbl (2): year, coverage
ℹ Use `spec()` to retrieve the full column specification for this data.
ℹ Specify the column types or set `show_col_types = FALSE` to quiet this message.
cobertura_vacinalPara baixar uma tabela de outra pasta, podemos usar a função here() do pacote here. Como dito anteriormente, essa função sempre assumirá que o diretório inicial é o do projeto. Para acessar um arquivo dentro de uma pasta, no caso o arquivo paises_anotados.rds na pasta Tabelas, escrevemos esse caminho entre aspas.
#Caminho
here()[1] "/Users/wapsyed/Desktop/cursor"
#Tabela de países
paises_anotados <- read_rds(here("Tabelas", "paises_anotados.rds"))
paises_anotados Poderíamos fazer o mesmo aqui, mas como o arquivo está na mesma pasta, especificaremos somente seu nome.
#Tabela de mortes por doença
mortes_doencas <- read_rds(here("Tabelas","Deaths_infectious_diseases_filtered.rds"))
mortes_doencas Padronizando tabelas
Para trabalharmos de forma fácil com uma tabela, precisamos padronizá-la.
Isso significa que trocaremos e reordenaremos os nomes das colunas para fazerem mais sentido, completaremos os valores NA quando for possível (e fizer sentido), e explicitaremos algumas coisas, como o nome das doenças contra as quais as vacinas protegem, e daremos o nome completo de cada região, pois somente temos os códigos delas.
Finalmente, salvaremos essa mesma tabela processada em outra, utilizando a função saveRDS(). RDS é um arquivo específico do R que tem seu tamanho reduzido e os dados otimizados. Poderíamos também salvar como arquivo de Excel (write.xlsx()) ou .csv (write_csv()) para trabalharmos nessa tabela manualmente no Google Sheets ou no próprio Excel, mas como é uma tabela grande e essa não é uma necessidade, continuaremos com o arquivo RDS.
#Organizar colunas
cobertura_vacinal = cobertura_vacinal %>%
select(type, name, country_abrev, continent, region, region_complete, year, everything())
#Salvar
cobertura_vacinal %>%
saveRDS(file = here("Tabelas", "cobertura_vacinal_anotada_2.rds"))#Organizar colunas
mortes_doencas = mortes_doencas %>%
select(name, continent,region_complete, everything())
#Salvar
mortes_doencas %>%
saveRDS(file = here("Tabelas","mortes_doencas.rds"))
mortes_doencasExplorando dados
Visualizando tabelas
# Explorando dados -----
# Tabela completa
view(cobertura_vacinal)
# Descrição geral
glimpse(cobertura_vacinal)Rows: 63,717
Columns: 10
$ type <chr> "country", "country", "country", "country", "country",…
$ name <chr> "Afghanistan", "Afghanistan", "Afghanistan", "Afghanis…
$ country_abrev <chr> "AFG", "AFG", "AFG", "AFG", "AFG", "AFG", "AFG", "AFG"…
$ continent <chr> "Asia", "Asia", "Asia", "Asia", "Asia", "Asia", "Asia"…
$ region <chr> "ROSA", "ROSA", "ROSA", "ROSA", "ROSA", "ROSA", "ROSA"…
$ region_complete <chr> "South Asia", "South Asia", "South Asia", "South Asia"…
$ year <dbl> 2022, 2021, 2020, 2019, 2018, 2017, 2016, 2015, 2014, …
$ vaccine <chr> "BCG", "BCG", "BCG", "BCG", "BCG", "BCG", "BCG", "BCG"…
$ coverage <dbl> 88, 84, 87, 86, 89, 84, 78, 76, 74, 72, 78, 71, 68, 64…
$ diseases <chr> "Tuberculosis", "Tuberculosis", "Tuberculosis", "Tuber…
# Primeiras 10 linhas
head(cobertura_vacinal, 10)# Últimas 10 linhas
tail(cobertura_vacinal, 10)#Summary statistics
summary(cobertura_vacinal) type name country_abrev continent
Length:63717 Length:63717 Length:63717 Length:63717
Class :character Class :character Class :character Class :character
Mode :character Mode :character Mode :character Mode :character
region region_complete year vaccine
Length:63717 Length:63717 Min. :1980 Length:63717
Class :character Class :character 1st Qu.:1997 Class :character
Mode :character Mode :character Median :2008 Mode :character
Mean :2006
3rd Qu.:2016
Max. :2022
coverage diseases
Min. : 0.00 Length:63717
1st Qu.:75.00 Class :character
Median :90.00 Mode :character
Mean :81.46
3rd Qu.:97.00
Max. :99.00
Cada coluna contendo strings repetidas nas linhas podem ser reduzidas aos valores únicos.
Por exemplo, veja que as regiões, por estarem na tabela longa, são repetidas para cada país. Se quisermos saber todas as regiões incluídas no dataset de forma mais fácil, sem ficar procurando uma por uma, usamos o distinct().
#Níveis de colunas
cobertura_vacinal %>%
distinct(region_complete)cobertura_vacinal %>%
distinct(continent)cobertura_vacinal %>%
distinct(name) %>%
head(10)cobertura_vacinal %>%
distinct(vaccine)E se quisermos contar quantas vezes esses valores são repetidos no dataset? Podemos usar o count() seguido por head(), para visualizar os 10 primeiros valores. O head() é importante quando temos uma tabela muito grande e não queremos ver todos os valores.
#Contar linhas por coluna
cobertura_vacinal %>%
count(name) %>%
head(10)cobertura_vacinal %>%
count(vaccine) %>%
head(10)cobertura_vacinal %>%
count(continent) %>%
head(10)cobertura_vacinal %>%
count(diseases) %>%
head(10)Os dados foram registrados de que ano a que ano?
cobertura_vacinal %>%
summarize(min_valor = min(year),
max_valor = max(year))Quais são as vacinas que protegem contra cada doença? Podemos descobrir isso de duas formas.
- Usando o
filter()e especificando a doença.
cobertura_vacinal %>%
filter(diseases == "Poliomielitis") %>%
distinct(vaccine) - Agrupando os dados com
group_by().
cobertura_vacinal %>%
group_by(diseases) %>%
distinct(vaccine) Temos também uma forma de contar a frequência dessas linhas. Veja que há uma diferença nas observações/linhas por região, sendo a região da américa latina a que mais contém observações, e a região do sul-asiático a que tem menos.
Além disso, a região “Non-programme” inclui países que não estão nos programas de assistência da ONU/OMS, como a Estônia e o Qatar, entretanto não há uma explicação completa em nenhuma das fontes que consultei. É importante incluir esses dados, ainda que não contribuam muito para nossas conclusões.
No caso de “Global”, esses dados se referem à cobertura vacinal do conjunto de todos os países para cada vacina (n = 14), e por isso tem n = 441.
#Tabela de frequências
cobertura_vacinal %>%
tabyl(region_complete)Dados faltantes
Valores NA (Not Available) podem surgir por diversos motivos, como erros de coleta de dados, falhas em dispositivos de medição, ou simplesmente porque a informação não está disponível.
Use a função skim() e faça um diagnóstico da tabela. Existem dados faltantes? Por que existem e onde estão?
# Dados faltantes ----
skim(cobertura_vacinal) | Name | cobertura_vacinal |
| Number of rows | 63717 |
| Number of columns | 10 |
| _______________________ | |
| Column type frequency: | |
| character | 8 |
| numeric | 2 |
| ________________________ | |
| Group variables | None |
Variable type: character
| skim_variable | n_missing | complete_rate | min | max | empty | n_unique | whitespace |
|---|---|---|---|---|---|---|---|
| type | 0 | 1 | 6 | 7 | 0 | 2 | 0 |
| name | 0 | 1 | 4 | 37 | 0 | 204 | 0 |
| country_abrev | 0 | 1 | 3 | 13 | 0 | 204 | 0 |
| continent | 0 | 1 | 4 | 28 | 0 | 9 | 0 |
| region | 0 | 1 | 4 | 13 | 0 | 9 | 0 |
| region_complete | 0 | 1 | 6 | 28 | 0 | 9 | 0 |
| vaccine | 0 | 1 | 3 | 5 | 0 | 14 | 0 |
| diseases | 0 | 1 | 4 | 28 | 0 | 10 | 0 |
Variable type: numeric
| skim_variable | n_missing | complete_rate | mean | sd | p0 | p25 | p50 | p75 | p100 | hist |
|---|---|---|---|---|---|---|---|---|---|---|
| year | 0 | 1 | 2005.74 | 11.61 | 1980 | 1997 | 2008 | 2016 | 2022 | ▂▃▅▆▇ |
| coverage | 0 | 1 | 81.46 | 22.10 | 0 | 75 | 90 | 97 | 99 | ▁▁▁▂▇ |
# Como são essas linhas?
cobertura_vacinal %>%
filter(!complete.cases(.)) Observe que somente há dados faltantes na coluna coverage. Isso acontece porque, apesar de uma vacina ter sido incorporada a programas de vacinação nacionais, isso não ocorreu ao mesmo tempo com todos os países. Dessa forma, podemos excluir essas linhas, mas não substituir os NAs por 0, porque isso significaria que a vacina estava disponível e ninguém foi vacinado.
Estatísticas descritivas
Abaixo, queremos obter o resumo dos dados de cada país na região da América latina. Como a tabela tem linhas com dados faltantes, algumas operações podem confundir os resultados. Por isso, usamos a função drop_na() na coluna onde temos mais NAs.
#Retirando os NAs
cobertura_vacinal = cobertura_vacinal %>%
drop_na(coverage)
#Sobraram linhas com NAs?
cobertura_vacinal %>%
filter(!complete.cases(.))Além disso, queremos filtrar somente os dados dos países latinoamericanos entre os anos 2000 e 2023. Para isso, usamos o between() dentro da função filter(), e especificamos que queremos o type == "country", pois também temos dados da região como um todo.
Como não queremos trabalhar com os nomes completos das regiões, podemos ser menos específicos. Por exemplo, se sabemos que existe a região “Latin America and Caribbean Region (LACR)”, podemos somente usar uma função que pega um pedaço do nome completo e nos retorna aquela linha. Isso é feito com o str_detect().
Para calcularmos as estatísticas gerais com summarize, precisamos agrupar os dados com group_by(). Isso porque temos dados da cobertura vacinal por país em 23 anos e para mais de uma vacina. Dessa forma, agruparemos por país (name) e vacina (vaccine). Ao final, vamos desagrupar esses dados.
As tabelas produzidas a seguir serão utilizadas para trabalharmos a visualização dos dados!
Siga o tutorial, mas já comece a testar com outros países, regiões, vacinas, doenças e anos!
Por país
Veja quais são os países da américa latina que mais vacinaram ao longo de 2000 a 2023, por vacina.
latin_2000_2023 = cobertura_vacinal %>%
#Missing values: Aqui, é importante retirá-los para não repetir linhas
drop_na(coverage) %>%
#Filtrando os dados no intervalo e
filter(between(year, 2000, 2022),
str_detect(region_complete, "Latin"),
type == "country") %>%
#Agrupar por vacina e país
group_by(vaccine, name) %>%
#Resumir estatísticas
# Estatísticas da cobertura vacinal para cada país em um continente
# Média, mediana, mínimo e máximo de uma variável numérica
summarise(
mean = mean(coverage),
median = median(coverage),
max = max(coverage),
min = min(coverage),
sd = sd(coverage),
var = var(coverage)
) %>%
#Ordenar continentes pela mediana de forma decrescente
arrange(vaccine, desc(mean)) %>%
#Desagrupar
ungroup()`summarise()` has grouped output by 'vaccine'. You can override using the
`.groups` argument.
latin_2000_2023Por continente
Veja quais são os continentes que mais vacinaram ao longo de 2000 a 2023, por vacina.
Algumas modificações foram feitas na tabela original. Observe que os valores para “Other” incluem países que não foram identificados corretamente, sendo o motivo principal o nome utilizado e processos históricos, como divisão do país e mudança de nome. Como esses países podem ser interessantes para as análises posteriores, eles continuaram na tabela.
# Cobertura vacinal: Estatísticas de cada continente
continentes_vac = cobertura_vacinal %>%
drop_na(coverage,
continent) %>%
filter(between(year, 2000, 2023),
type == "country") %>%
group_by(vaccine, continent) %>%
summarise(
mean = mean(coverage),
median = median(coverage),
max = max(coverage),
min = min(coverage),
sd = sd(coverage),
var = var(coverage)
) %>%
#Ordenar continentes pela mediana de forma decrescente
arrange(vaccine, desc(mean)) %>%
ungroup()`summarise()` has grouped output by 'vaccine'. You can override using the
`.groups` argument.
#Visualizar
continentes_vacMortes cumulativas
Por continente
# Mortes cumulativas
# Estatísticas de cada continente
continentes_mortes = mortes_doencas %>%
drop_na(total_deaths,
continent) %>%
filter(between(year, 2000, 2023)) %>%
group_by(death_disease, continent) %>%
summarise(
cumulativo = sum(total_deaths),
mean = mean(total_deaths),
median = median(total_deaths),
max = max(total_deaths),
min = min(total_deaths),
sd = sd(total_deaths),
var = var(total_deaths)
) %>%
#Aqui, queremos os países com maior número de mortes
arrange(death_disease, - cumulativo) %>%
ungroup()`summarise()` has grouped output by 'death_disease'. You can override using the
`.groups` argument.
continentes_mortesPor país
# Mortes cumulativas
# Estatísticas de cada país
paises_mortes = mortes_doencas %>%
drop_na(total_deaths,
name) %>%
filter(between(year, 2000, 2023)) %>%
group_by(death_disease, name) %>%
summarise(
cumulativo = sum(total_deaths),
mean = mean(total_deaths),
median = median(total_deaths),
max = max(total_deaths),
min = min(total_deaths),
sd = sd(total_deaths),
var = var(total_deaths)
) %>%
arrange(death_disease, desc(cumulativo)) %>%
ungroup()`summarise()` has grouped output by 'death_disease'. You can override using the
`.groups` argument.
paises_mortes6. Visualização
Vacinação
Por continente
#Gráfico de barras simples
continente_barras_vac = continentes_vac %>% #Dataframe
filter(vaccine %in% "MCV1") %>%
mutate(continent = fct_reorder(continent, median)) %>%
ggplot() + #Chamando a função. Aqui se usa "+" em vez de "%>%"
#Mapeando os eixos
aes(x = median,
y = continent,
fill = continent) +
#Geometrias
geom_col() +
geom_text(aes(x = median,
y = continent,
label = median),
hjust = -0.5) +
#Tema
theme_few() +
#Labels
labs(title = "Cobertura vacinal",
x = "Mediana (Cobertura vacinal %)",
y = "",
fill = "Continente") +
#Limites
xlim(0, 105) +
scale_fill_jama()
continente_barras_vac
Por país
#Gráfico de barras simples
pais_barras_vac = latin_2000_2023 %>% #Dataframe
filter(vaccine %in% "MCV1") %>%
mutate(name = fct_reorder(name, median)) %>%
ggplot() + #Chamando a função. Aqui se usa "+" em vez de "%>%"
#Mapeando os eixos
aes(x = median,
y = name,
fill = median) +
#Geometrias
geom_col() +
geom_text(aes(x = median,
y = name,
label = median),
hjust = -0.5,
size = 5) +
#Tema
theme_few() +
scale_fill_binned(type = "viridis") +
#Labels
labs(title = "Cobertura vacinal contra o sarampo",
subtitle = "Países, entre 2000 e 2023",
x = "Mediana (Cobertura vacinal%)",
y = "",
fill = "Mediana") +
xlim(0, 105)
pais_barras_vac
Mortes
Por continente
#Gráfico de pontos simples
barras_mortes = continentes_mortes %>% #Dataframe
filter(death_disease == "Measles") %>%
mutate(continent = fct_reorder(continent, cumulativo)) %>%
ggplot() + #Chamando a função. Aqui se usa "+" em vez de "%>%"
#Mapeando os eixos
aes(x = cumulativo,
y = continent,
fill = continent) +
#Geometrias
geom_col() +
geom_label(aes(x = cumulativo,
y = continent,
label = cumulativo),
hjust = -0.2) +
#Tema
theme_few() +
#Labels
labs(title = "Mortes cumulativas por Sarampo, de 2000 a 2023",
x = "Mortes",
y = "") +
scale_fill_jama()+
#Eixo x
xlim(0, 10000) #Aumentar limites
barras_mortes 
De acordo com o gráfico, o continente asiático contribuiu para 84% das mortes por sarampo, em 23 anos. Mas, a doença foi endêmica no continente todo ou somente em alguns países?
#Gráfico de barras simples
paises_barras_mortes = paises_mortes %>% #Dataframe
inner_join(paises_anotados %>% select(-region_complete), by = "name") %>%
filter(death_disease == "Measles") %>%
mutate(name = fct_reorder(name, cumulativo)) %>%
slice_max(order_by = cumulativo, n = 10) %>%
ggplot() + #Chamando a função. Aqui se usa "+" em vez de "%>%"
#Mapeando os eixos
aes(x = cumulativo,
y = name,
fill = continent) +
#Geometrias
geom_col() +
geom_label(aes(x = cumulativo,
y = name,
label = cumulativo),
hjust = -0.2) +
#Tema
theme_few() +
#Labels
labs(title = "Mortes cumulativas por Sarampo, de 2000 a 2023",
x = "Mortes",
y = "") +
scale_fill_jama() +
#Eixo x
xlim(0, 10000) #Aumentar limites
paises_barras_mortes
As Filipinas foi o país que mais contribuiu para 80% das mortes no mundo todo. Na Ásia, o Japão, Mongólia e Tailândia também registraram muitas mortes pela doença, o que poderia indicar que a doença se espalhou entre esses países ou isso ocorreu em tempos diferentes. Interessante, não? Para explorar mais, considere os gráficos que faremos a seguir com outros exemplos.
Melhorando o gráfico
Chegamos a um gráfico interessante. Por isso, copiamos e colamos o código aqui, para permitir que façamos outras modificações no gráfico.
Nele, queremos filtrar a cobertura vacinal contra o sarampo nos países da américa latina e identificar aqueles países que apresentem cobertura vacinal maior ou igual a 95%. Caso o país tenha cobertura menor, ele será marcado de vermelho. Para isso, usamos o gghighlight()
# Melhorando o gráfico -----
plot =
# Manipular tabela
latin_2000_2023 %>%
filter(vaccine %in% "MCV1") %>%
mutate(name = fct_reorder(name, median)) %>%
#Criar base do gráfico
ggplot() +
aes(x = median, y = name, colour = median) + #Aesthetics (mapping)
#Geometria
geom_point(shape = "circle",
size = 1) +
#Highlight (add sempre após geom_)
gghighlight(median >= 95, #Filtragem
label_key = name, #Nome do label
label_params = list(size = 3), #Tamanho da fonte
unhighlighted_params = list(colour = "red")) +
#Marcações
#Add Linha vertical
geom_vline(xintercept = 95,
colour = "black",
linewidth =0.2,
linetype = 2) +
#Tema, aparência
theme_light() +
# Labels, titulo, subtitulo, titulo dos eixos
labs(title = "Vacinação em países da América Latina",
subtitle = "Sarampo, MCV1, Dose 1, entre 2000 e 2023",
y = "",
x = "Mediana (Cobertura %)",
colour = "Cobertura vacinal",
caption = "Fonte: Feito pela UPVacina") +
# Aparência especifica
theme(
#Texto geral
text = element_text(family = "sans", #sans, mono, serif
color = "black"),
#Título, subtítulo e tag
plot.title = element_text(size = 12,
face = "bold",
hjust = 0,
vjust = 0.5),
plot.subtitle = element_text(size = 10),
plot.tag.position = "topleft",
plot.tag = element_text(vjust = 5,
size = 12,
face = "bold"),
#Legenda
legend.title = element_text(face = "bold"),
legend.text = element_text(size = 10),
#Eixos
axis.title.x = element_text(size = 10,
angle = 0,
color = "black"),
axis.text.x = element_text(color = "black",
size = 8,
angle = 0),
axis.text.y = element_text(size = 8,
color = "black"),
#Margens do gráfico
plot.margin = unit(c(0.5, #Top
1, #Right
0.5, #Bottom
0), #Left
"cm") #Unidade)
)
#Visualizar
plot
#Salvar
ggsave(plot, file = here("Figuras", "Sarampo_LatinAmerica_2000_2023.png"),
width = 10, height = 5)Unindo gráficos
#Unindo gráficos -----
vaccination = cobertura_vacinal %>%
filter(name == "Brazil",
vaccine == "MCV1",
year >= 1980,
year <= 2020) %>%
ggplot() +
geom_line(mapping = aes(
x = year,
y = coverage),
colour = "#4DBBD5B2",
linewidth = 2) +
geom_text(aes(x = year,
y = coverage,
label = coverage),
vjust = -0.5,
size = 2) +
theme_few() +
labs(title = "Cobertura vacinal contra o sarampo, Brasil",
x = "Ano",
y = "Cobertura vacinal (%)") +
ylim(0, 110)
vaccination
#Mortes
deaths = mortes_doencas %>%
filter(name == "Brazil",
death_disease == "Measles",
year >= 1980, year <= 2020) %>%
ggplot() +
aes(x = year, y = total_deaths) +
geom_col(fill = "#DC0000B2") +
geom_text(aes(label = total_deaths),
vjust = 0.5,
hjust = -0.2,
angle = 90,
size = 2) +
theme_few() +
theme(text = element_text(size = 10),
plot.title = element_text(hjust= 0.5)) +
labs(title = "Mortes por sarampo, Brasil",
x = "Ano",
y = "Mortes") +
ylim(0, 3700)
deaths
Unindo gráficos em uma imagem
#Unir gráficos
(vaccination / deaths) 
#Salvar
(vaccination / deaths) %>%
ggsave(file = here("Figuras","Sarampo_Brasil_1980_2023.png"), width = 10, height = 5)Boxplots
#Boxplot simples por ano
boxplot_years = cobertura_vacinal %>%
filter(type == "country",
vaccine == "MCV1",
year %in% c(1990, 2000, 2010, 2019)) %>%
ggplot() +
aes(x = "",
y = coverage,
fill = continent) +
geom_boxplot() +
scale_fill_brewer(palette = "Set2", direction = 1) +
theme_few() +
theme(axis.text.x = element_text(angle = 45,
vjust = 1,
hjust = 1),
plot.margin = unit(c(1, 1, 1, 1), "cm"),
legend.position = "right",
plot.title = element_text(hjust= 0.5),
plot.subtitle = element_text(hjust = 0.5)) +
facet_wrap(vars(year), ncol = 4) +
labs(title = "Cobertura vacinal contra o sarampo",
subtitle = "Primeira dose (MCV1)",
x = "",
y = "Cobertura vacinal (%)",
fill = "Continente") +
scale_fill_jama()Scale for fill is already present.
Adding another scale for fill, which will replace the existing scale.
#Visualizar
boxplot_years 
#Boxplot simples de ano
boxplot_regions = cobertura_vacinal %>%
filter(type == "country",
vaccine == "MCV1",
year %in% c(1990, 2000, 2010, 2020)) %>%
mutate(year = as.factor(year)) %>%
ggplot() +
aes(x = year, y = coverage, fill = year) +
theme_few() +
theme(plot.title = element_text(hjust= 0.5)) +
geom_boxplot(outlier.shape = NA) +
geom_jitter(aes(label = name),
alpha = 0.2,
na.rm = T) +
scale_fill_brewer(palette = "Set2", direction = 1) +
scale_color_distiller(palette = "Set2", direction = 1) +
facet_wrap(vars(continent)) +
scale_fill_jama()
boxplot_regions
# Gráfico interativo
boxplot_regions %>%
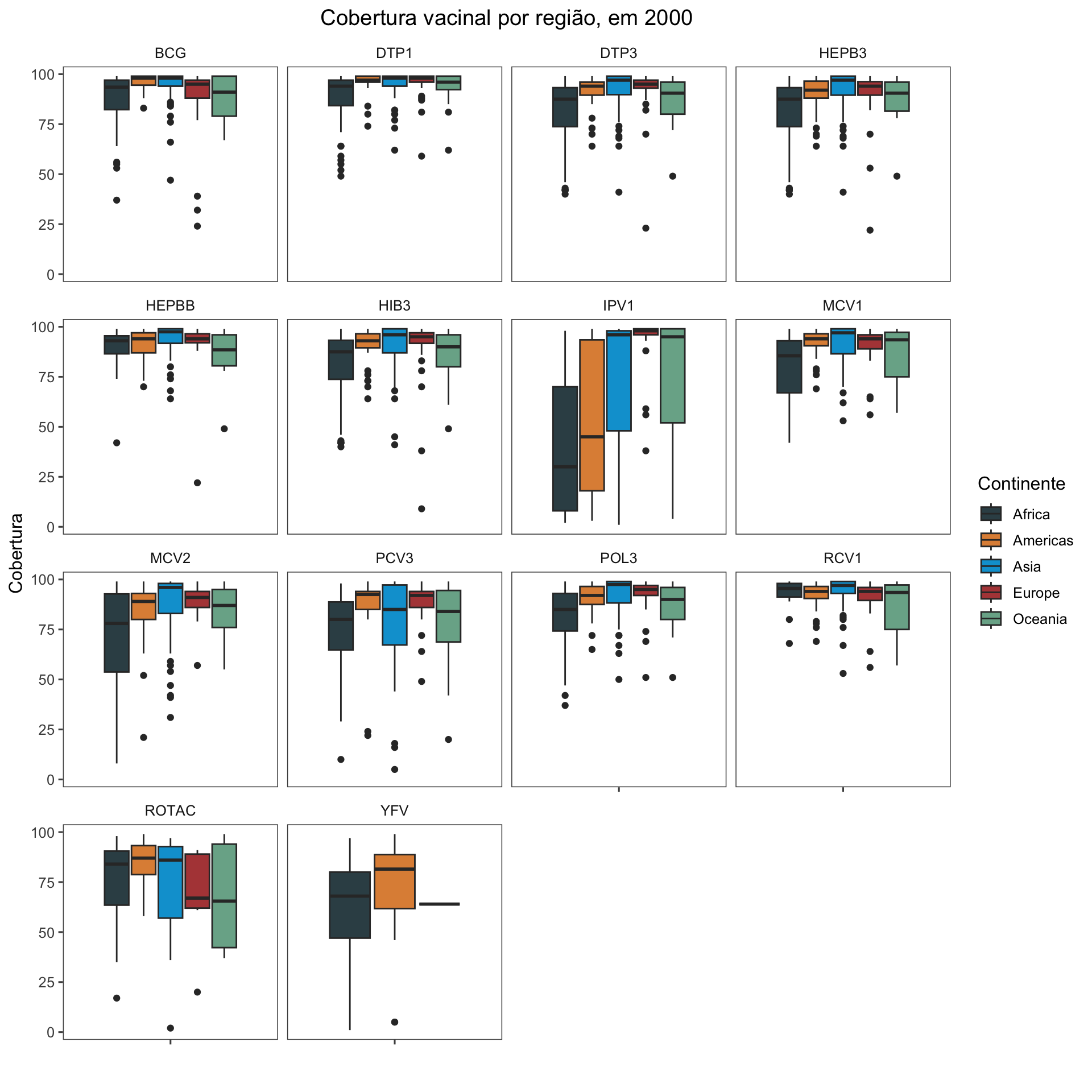
ggplotly()#Boxplot por vacina
cobertura_vacinal %>%
filter(type == "country",
year == 2015) %>%
ggplot() +
aes(x = "", y = coverage, fill = continent) +
geom_boxplot() +
theme_few() +
theme(plot.title = element_text(hjust= 0.5)) +
facet_wrap(vars(vaccine)) +
labs(x = "",
y = "Cobertura",
title = "Cobertura vacinal por região, em 2000",
fill = "Continente") +
scale_fill_jama() 
Múltiplos gráficos
Isolando linhas com filter()
#Highlight linhas específicas
#Método 1
br_cov = cobertura_vacinal %>%
filter(year >= 2012 & year <= 2022,
name %in% c("Brazil", "Colombia")) %>%
ggplot() +
aes(x = year,
y = coverage,
colour = name) +
geom_line(linewidth = 2) +
theme_few() +
theme(axis.text.x = element_text(angle = 90),
plot.title = element_text(hjust = 0.5)) +
facet_wrap(vars(vaccine)) +
labs(title = "Cobertura vacinal, por vacina",
x = "Ano",
y = "Cobertura (%)",
color = "País") +
scale_color_jama()
br_cov 
Isolando linhas com gghighlight()
A gghighlight() é uma função do pacote com o mesmo nome que permite destacar linhas, pontos e colunas de interesse, sem precisar filtrar antes, como fizemos acima. O interessante é que, ao chamarmos a função aqui, podemos ainda ver as linhas dos outros países, embora transparentes, para comparação.
#Método 2
br_cov = cobertura_vacinal %>%
filter(year >= 2012 & year <= 2022,
region %in% c("LACR")) %>%
ggplot() +
geom_line(aes(x = year,
y = coverage,
colour = name),
linewidth = 2) +
theme_few() +
theme(axis.text.x = element_text(angle = 90),
plot.title = element_text(hjust = 0.5)) +
facet_wrap(vars(vaccine)) +
labs(title = "Cobertura vacinal, por vacina",
x = "Ano",
y = "Cobertura (%)") +
gghighlight(name %in% c("Brazil", "Colombia"),
calculate_per_facet = T, #Add quando tiver facets.
#Caso seja um gráfico somente,
#use calculate_per_facet = F
unhighlighted_params = list(linewidth = 1, #Parametros para as outras linhas
colour = "gray90", #Cor cinza
alpha = 0.3)) + #Transparencia de 30%
scale_color_jama()
br_cov
#Mortes
br_mortes = mortes_doencas %>%
filter(year >= 2012 & year <= 2022,
region_complete == "Latin America and Caribbean") %>%
select(name, year, total_deaths, death_rate_100thousand, death_disease) %>%
distinct() %>%
drop_na(total_deaths) %>%
ggplot() +
geom_line(aes(x = round(year, 0),
y = total_deaths,
colour = name),
linewidth = 2) +
theme_few() +
theme(axis.text.x = element_text(angle = 90),
plot.title = element_text(hjust = 0.5)) +
facet_wrap(vars(death_disease),
scales = "free",
nrow = 3) +
labs(title = "Mortes por doença imunoprevenível",
x = "Ano",
y = "Mortes") +
#highlight
gghighlight(name %in% c("Brazil", "Colombia"), #Linhas somente com name == "Brazil'
calculate_per_facet = T, #Add quando tiver facets
unhighlighted_params = list(linewidth = 1, #Opções para linhas não marcadas
colour = "gray90",
alpha = 0.5)) +
scale_color_jama()
br_mortes 
Estes dados são interessantes, porque não há casos e mortes registradas por polio no Brasil e nas Américas desde 1989, quando a doença foi eliminada no continente. Além disso, não há registro algum nos sites da OMS e da UNICEF que citem esses números, além da base de dados original (WHO Mortality database). Provavelmente, é um erro de registro. Essa observação é interessante para ficarmos atentos à qualidade e coerência dos dados. Por isso, vamos retirar os dados de mortes por polio.
#Mortes
br_mortes = mortes_doencas %>%
filter(year >= 2012 & year <= 2022,
region_complete == "Latin America and Caribbean",
death_disease != "Poliomyelitis") %>%
select(name, year, total_deaths, death_rate_100thousand, death_disease) %>%
distinct() %>%
drop_na(total_deaths) %>%
ggplot() +
geom_line(aes(x = round(year, 0),
y = total_deaths,
colour = name),
linewidth = 2) +
theme_few() +
theme(axis.text.x = element_text(angle = 90),
plot.title = element_text(hjust = 0.5))+
facet_wrap(vars(death_disease),
scales = "free",
nrow = 3) +
labs(title = "Mortes por doença imunoprevenível",
x = "Ano",
y = "Mortes") +
#highlight
gghighlight(name %in% c("Brazil", "Colombia"), #Linhas somente com name == "Brazil'
calculate_per_facet = T, #Add quando tiver facets
unhighlighted_params = list(linewidth = 1, #Opções para linhas não marcadas
colour = "gray90",
alpha = 0.5)) +
scale_color_jama()
br_mortes 
E vamos unir esses gráficos
# Unir gráficos
patch = br_cov + br_mortes + plot_layout(guides = "collect")
patch
#Salvar
ggsave(patch,
file = here("Figuras","br_cov_mortes.png"),
width = 15, #Largura
height = 10) #AlturaAgora é a sua vez!
Faça gráficos analisando continentes, países, doenças e vacinas diferentes. Para isso, é só trocar os nomes nas funções dos gráficos. Por exemplo, onde estiver “Brazil”, coloque “Canada” ou “India”, etc. Da mesma forma, onde estiver o nome de uma vacina ou doença, troque pelos temas do seu interesse. Para selecionar os países, não há critério definido, então você poderá ir pela sua curiosidade ou por meio dos gráficos já apresentados, como o boxplot interativo.
Recomendações
Ao fazer a parte prática com suas análises, faça no mesmo documento. Se estiver muito complicado, mande mensagem no grupo do Whatsapp ou envie um e-mail. A prática deve ser fácil e descomplicada.
Lembre-se de criar blocos de códigos abaixo dos blocos de códigos de exemplos do tutorial. Também, descreva os gráficos e códigos no espaço em branco, ou seja, fora do bloco de código. Isso garantirá que seu documento estará organizado e fácil de alterar.
Por exemplo:
#Código exemplo
#...“Meu código… Gráfico do tipo A dos países XYZ.”
#Seu código
#...Alguns exemplos de perguntas que você pode se fazer:
Quem:
Quais são os países que menos vacinaram em cada continente?
Quais são os países que mais vacinaram em cada continente?
Quais são os países que mais tiveram mortes por uma doença X? A difteria aparentemente teve um surto em algum país latinoamericano a partir de 2016. Qual é este país e por que isso ocorreu? Será que é a baixa cobertura vacinal?
Quando:
Será que a cobertura vacinal ou o número de mortes sempre foi assim (alto ou baixo) ou é algo recente dos últimos 5 a 10 anos?
Será que a pandemia afetou a vacinação contra outras doenças?
Ou a cobertura vacinal já estava caindo antes mesmo da pandemia?
Comparações:
- Qual seria a média de vacinação contra uma doença x para o continente y e onde seus países de escolha estão? (Dica: use
group_by()esummarize()).
- Qual seria a média de vacinação contra uma doença x para o continente y e onde seus países de escolha estão? (Dica: use
Alguns conselhos:
Explore e leia os códigos do tutorial atentamente. Tente entender o que cada linha de código faz.
Pense quais variáveis você quer analisar:
É uma variável numérica ou categórica?
O gráfico que você quer analisar combina duas variáveis numéricas (anos e cobertura vacinal) ou uma variável categórica (países) e outra numérica (cobertura vacinal)?
A variável numérica é temporal? Por exemplo, você vai usar uma série temporal (2010, 2011, 2012…) ou somente a média de um período (2010 a 2020)?
Caso use todos os anos em uma série temporal, recomendo usar um gráfico de linhas, onde o eixo x representa os anos e o eixo y, a cobertura vacinal ou numero de mortes.
Agora, caso analise as médias ou medianas de um período, um gráfico de colunas é recomendado, onde o eixo x é um ano e o y, o número de mortes ou cobertura vacinal.
Para entender melhor os tipos de gráficos que você pode utilizar, entre no Data to viz. Ele te guiará como seguir a partir das variáveis que você está trabalhando.
Caso queira gerar outros tipos de gráficos, use diferentes geometrias e consulte o (R graph gallery)[https://r-graph-gallery.com/].
Use o esquisse sempre para facilitar as análises iniciais. Os códigos podem ser complicados à primeira vista, mas o esquisse está aí para auxiliar nesse primeiro contato.
Use o ChatGPT. O ChatGPT é uma ferramenta extremamente útil para a sua evolução na programação e você precisa aprender a usá-lo e a fazer perguntas corretas. 80% das vezes ele dá respostas perfeitas. Você pode usá-lo para explicar, consertar e criar códigos!
Copie e cole um bloco de código e peça para ele explicar cada linha e função.
Deu algum erro no código? Manda pra ele também o código e o erro que aparece no console.
Quer fazer algo específico e pontual no código? Manda pro ChatGPT!
Envie suas dúvidas no grupo de Whatsapp. Caso seja necessário, marque uma monitoria gratuita comigo.
Em construção: Curso de estatística
Analisando distribuições e uma pincelada de estatística
Em um conjunto de dados que registra a cobertura vacinal ao longo do tempo para diferentes países, é comum encontrar registros ausentes (e NAs) para determinados países em determinados anos. Isso pode ser devido a vários motivos, como a introdução tardia de determinadas vacinas em alguns países ou a falta de disponibilidade de dados.
Para investigar se há algum padrão na frequência de países que registram a cobertura vacinal ao longo dos anos, podemos criar um gráfico que represente essa frequência. Uma abordagem interessante é agrupar os países por região da OMS e observar se há um aumento na quantidade de países que começaram a registrar a cobertura vacinal ao longo do tempo.
É importante ressaltar que estamos avaliando a frequência de países que registram a cobertura vacinal por ano e não a qualidade da cobertura vacinal em si.
Quantos países por região da OMS registraram os dados na UNICEF?
Observa-se que algumas vacinas, como BCG, DTP1, DTP3, POL3 e MCV1, já apresentam registros desde o ano de 1980, com a participação de muitos países. Isso ocorre devido ao fato de que essas vacinas já faziam parte do calendário de imunização de diversos países. No entanto, é importante ressaltar que nem todos os países podem ter reportado sua cobertura vacinal à OMS nesse período, ou até mesmo podem não ter implementado a vacinação.
Por outro lado, algumas vacinas, como IPV1 e MCV2, começaram a ser registradas após o ano 2000, mas já contam com a participação de muitos países nos registros. Isso se deve ao fato de que essas vacinas estavam disponíveis muito antes do início dos registros, evidenciando sua ampla adoção em diferentes países.
Além disso, é possível observar que algumas vacinas começaram a ser registradas de forma gradual ao longo do tempo, como HEPBB, HEPB3, PCV3, HIB3 e ROTAC. Esse padrão faz sentido, uma vez que essas vacinas foram desenvolvidas mais recentemente em comparação com as mencionadas anteriormente.
Um caso interessante é o da vacina contra febre amarela (YFV), que existe desde a década de 1930. Surpreendentemente, sua cobertura vacinal apresenta um comportamento semelhante ao das vacinas introduzidas mais recentemente. Além disso, é importante observar que nem todas as regiões registram essa vacina, sendo mais concentrada em áreas tropicais onde a doença é endêmica.
Essas observações mostram a complexidade e a heterogeneidade na implementação e registro da cobertura vacinal em diferentes regiões e ao longo do tempo. Ainda, refletem as diferentes políticas de saúde pública e condições epidemiológicas em todo o mundo.
#Quantos países por continente registraram os dados na UNICEF?
#Todos os continentes juntos
cobertura_vacinal %>%
filter(type == "country") %>%
select(coverage, year, continent, vaccine) %>%
mutate(continent = fct_reorder(continent, coverage)) %>%
drop_na(coverage) %>%
ggplot() +
aes(x = year, fill = continent) +
geom_histogram(bins = 43L) +
theme_few() +
theme(axis.text.x = element_text(angle = 90, vjust = 0.5))+
facet_wrap(~vaccine, scale= "free_y") +
labs(title = "Cobertura vacinal por Continente",
subtitle = "Diferentes vacinas",
x = "Anos",
y = "",
fill = "Continente") +
scale_fill_jama()
Qualidade da cobertura vacinal: Os países aumentaram sua cobertura vacinal ao longo das décadas?
Para visualizar a distribuição de dados em diferentes grupos, como regiões, podemos recorrer a um tipo de gráfico conhecido como ridgeline. Esses gráficos apresentam curvas de densidade sobrepostas, o que permite uma comparação direta entre as distribuições de cada grupo. Por exemplo, ao analisar a cobertura vacinal em diferentes regiões, podemos observar se os países convergem para um valor específico ou se apresentam variações significativas.
#Pacote para o gráfico de ridgelines
library(ggridges)
cobertura_vacinal %>%
filter(type == "country",
year %in% c(1990,2000, 2010, 2020),
diseases == "Measles") %>%
mutate(continent = fct_rev(continent)) %>%
ggplot() +
aes(x = coverage, y = continent, fill = fct_rev(continent)) +
geom_density_ridges() +
theme_few()+
theme(plot.caption = element_text(size = 13L),
legend.position = "none",
axis.text.x = element_text(angle = 90),
strip.text.y = element_text(angle = 0,
hjust = 0)) +
facet_grid(~vaccine~year, scales = "free_y") +
labs(title = "Cobertura vacinal por Região da OMS",
subtitle = "Vacinas contra sarampo",
x = "Cobertura (%)",
y = "",
fill = "Região da OMS") +
scale_fill_jama() 
Quando todos os países de uma região têm valores semelhantes, a curva de densidade apresenta um único pico agudo. Nesse caso, esse pico representa a moda,a mediana e a média da distribuição, que são medidas de centralidade. A moda é o valor mais frequente. Além disso, também identificamos a mediana, que corresponde ao valor do meio quando os dados estão ordenados, e a média, que é calculada somando todos os valores e dividindo pelo número total de observações.
No entanto, quando os países dentro de uma região apresentam coberturas vacinais diferentes, a curva de densidade tende a se achatar, indicando uma distribuição mais dispersa, e as medidas de centralidade não têm o mesmo valor.
Em alguns casos, é possível observar dois ou mais picos distintos, o que caracteriza uma distribuição bimodal ou multimodal, dependendo do número de picos identificados. Isso é importante para identificar padrões em diferentes grupos ou categorias. Observe também que a cobertura vacinal para a maioria dos países aumentou ao longo das décadas, convergindo para 90 a 100%.
Todavia, uma curva é uma suavização dessas frequências em um intervalo de valores. Usando um histograma, que nada mais é do que um gráfico de barras, podemos ver melhor essas nuances. Observe que o que foi modificado no código foram os argumentos usados na função geom_density_ridges(), com stat = "binline" e o número de bins. As bins são as discretizações de uma variável contínua, como a cobertura vacinal. Ou seja, dividimos o intervalo de 0-100% em 20. Se aumentarmos essas bins para 100, o gráfico ficará mais detalhado, mas menos informativo, mas o contrário também será verdade.
Altere os valores e veja os resultados.
#Qual a cobertura vacinal nos anos 1990 e 2019 para vacinas contra o sarampo?
cobertura_vacinal %>%
filter(type == "country",
year %in% c(2000, 2010, 2020),
diseases == "Measles") %>%
mutate(continent = fct_rev(continent)) %>%
ggplot() +
aes(x = coverage, y = continent, fill = fct_rev(continent)) +
geom_density_ridges(stat = "binline", bins = 20) +
theme_few()+
theme(plot.caption = element_text(size = 13L),
legend.position = "none",
axis.text.x = element_text(angle = 90),
strip.text.y = element_text(angle = 0,
hjust = 0)) +
facet_grid(~vaccine~year, scales = "free") +
labs(title = "Cobertura vacinal por Região da OMS",
subtitle = "Vacinas contra sarampo",
x = "Cobertura (%)",
y = "",
fill = "Região da OMS") +
scale_fill_jama()
Dados demográficos e econômicos com o Gapminder
O gapminder é um site e um pacote que apresenta diferentes dados sobre países ao longo dos anos. O pacote do R traz uma tabela dos anos 50 até 2007, com dados sobre expectativa de vida, PIB percapita e tamanho da população. Vamos ver se a cobertura vacinal tem alguma relação com a expectativa de vida nos países. Além disso, vamos classificar os páises de acordo com seu PIB per capita, seguindo a classificação da ONU.
#Manipulação
gapminder_vac = gapminder %>%
left_join(cobertura_vacinal %>% rename(country = name) %>% select(-continent),
by = join_by(country, year)) %>%
mutate(income = case_when(
gdpPercap < 1035 ~ "Low Income",
gdpPercap >= 1035 & gdpPercap < 4085 ~ "Lower Middle Income",
gdpPercap >= 4085 & gdpPercap < 12615 ~ "Upper Middle Income",
gdpPercap >= 12615 ~ "High Income"
))
#Plot
gapminder_vac %>%
filter(vaccine == "BCG") %>%
ggplot() +
aes(
x = coverage,
y = lifeExp,
) +
geom_point(aes(colour = continent,
size = pop),
shape = "circle") +
facet_wrap(~year)+
theme_few() +
labs(title = "Cobertura vacinal e Expectativa de vida",
subtitle = "Vacina BCG",
x = "Cobertura vacinal (%)",
y = "Expecativa de vida (anos)",
color = "Região",
shape = "População") +
scale_color_jama()
Aparentemente, quando a cobertura vacinal para a BCG aumenta, a expectativa de vida também aumenta, e isso ocorre ao longo dos anos. Além disso, veja que, principalmente entre 1982 e 1992, os países seguem um comportamento bem parecido com o de uma reta na diagonal.
Em estatística, se duas variáveis se relacionam gerando formatos lineares (retas) ou não lineares (curvas), dizemos que elas estão associadas. Mas, qual a direção e força dessa associação? Bem, neste caso, se as duas aumentam juntas, dizemos que há uma correlação positiva (>0). Mas, quão positiva ela é?
Neste caso, sabemos que elas parecem seguir uma reta, mas precisamos forçar um pouco, porque elas estão dispersas. Quanto mais os pontos se agrupam e menor é a dispersão, maior é a força dessa correlação. Além disso, por mais que os pontos pareçam se agrupar em uma reta, há diferentes formas de traçá-la, com angulos diferentes. A técnica que encontra a melhor reta em um gráfico de dispersão é chamada de regressão, que no caso é linear.
No gráfico abaixo, usamos as funções geom_smooth() do ggplot2 e stat_correlation() do pacote ggpmisc para fazer a regressão linear e apresentar o coeficiente de correlação R (método de Pearson). Além disso, também calculamos o grau de dispersão dos pontos em relação à reta. Quando o R2 está mais próximo de 1, menor é a dispersão em torno da reta e melhor essa reta explica o comportamento. Por exemplo, se o R for 1, a correlação é positiva e forte, e se R2 for próximo de 1, podemos predizer que, a partir de um valor na variável do eixo X, o valor correspondente na variável do eixo Y será predito com alto grau de confiança.
Em estatística e em machine learning, é comum atribuir nomes diferentes aos mesmos conceitos. Por exemplo, a variável no eixo X é denominada variável independente na estatística e preditor no contexto de machine learning. Já a variável no eixo Y é referida como variável dependente na estatística, enquanto no âmbito de machine learning, é denominada variável resposta ou outcome. Entender isso é importante porque, embora não exploraremos as técnicas e conceitos de machine learning, no presente curso, você pode se perder nesses diferentes contextos.
Observe que o maior valor de R foi de 0.61 e de R2, de 0.37. Somente de observar os gráficos, vemos que esses resultados corroboram com a dispersão dos países, com muitos nas extremidades dos gráficos. Neste caso, podemos dizer que, apesar de uma associação entre as variáveis, a correlação é positiva e com força intermediária. Além disso, a cobertura vacinal somente explica 37% da variação da expectativa de vida entre os países.
gapminder_vac %>%
filter(vaccine == "BCG") %>%
ggplot() +
aes(x = coverage,
y = lifeExp) +
geom_point(shape = "circle",
aes(colour = continent,
size = pop),
alpha = 0.2) +
geom_smooth(method = "lm",
color = "black",
se = F)+
stat_correlation(method = "pearson",
size = 3,
mapping = use_label(c("R", "R2"))) +
facet_wrap(~year)+
theme_few() +
labs(title = "Cobertura vacinal e Expectativa de vida",
subtitle = "Vacina BCG",
x = "Cobertura vacinal (%)",
y = "Expecativa de vida (anos)",
color = "Continente",
shape = "População") +
scale_color_jama()
Ao aplicarmos a regressão linear considerando todos os países, estamos ignorando as distinções proporcionadas pelos continentes. Cada região apresenta uma variabilidade entre seus países, e, em média, uma região pode apresentar um comportamento distinto das demais. Diante disso, surgem diversas questões que poderiam contribuir para explicar essa variação regional, como fatores geográficos, sociais e econômicos. Assim, para uma análise mais aprofundada, é interessante realizar uma regressão linear separadamente para cada região e para cada ano, a fim de capturar melhor a complexidade e a heterogeneidade dos dados.
gapminder_vac %>%
filter(vaccine == "BCG") %>%
ggplot() +
aes(x = coverage,
y = lifeExp,
color = continent) +
geom_point(shape = "circle",
aes(colour = continent,
size = pop),
alpha = 0.2) +
geom_smooth(aes(group = continent,
color = continent),
method = "lm",
se = F)+
stat_correlation(method = "pearson",
size = 2,
mapping = use_label(c("R", "R2", "n"))) +
facet_wrap(~year)+
theme_few() +
labs(title = "Cobertura vacinal e Expectativa de vida",
subtitle = "Vacina BCG",
x = "Cobertura vacinal (%)",
y = "Expectaiva de vida (anos)",
color = "Continente",
shape = "População") +
scale_color_jama()
Observamos que, ao estratificarmos a análise por continente, a correlação entre a cobertura vacinal da BCG e a expectativa de vida tornou-se mais forte, com uma dispersão reduzida em torno da reta de regressão. Em outras palavras, a cobertura vacinal da BCG apresentou uma capacidade maior de explicar a variação na expectativa de vida em diferentes continentes.
Esse resultado é muito interessante, pois a vacinação com a BCG é uma das principais estratégias para o controle da tuberculose. Historicamente, a tuberculose estava presente em diversas condições sociais e econômicas, afetando tanto as classes com menor renda quanto as mais abastadas. No entanto, mais recentemente, a doença tornou-se mais associada às condições sociais e econômicas da população, com pacientes com HIV/AIDS apresentando um risco ainda maior de morte pela tuberculose.
#Manipulação
gapminder_mortes = gapminder %>%
left_join(mortes_doencas %>% rename(country = name) %>% select(-continent),
by = join_by(country, year)) %>%
mutate(income = case_when(
gdpPercap < 1035 ~ "Baixa",
gdpPercap >= 1035 & gdpPercap < 4085 ~ "Média-baixa",
gdpPercap >= 4085 & gdpPercap < 12615 ~ "Média-alta",
gdpPercap >= 12615 ~ "Alta"
))
gapminder_mortes %>%
filter(year %in% c(1972, 1982, 1992, 2007)) %>%
filter(death_disease == "Tuberculosis") %>%
ggplot() +
aes(x = death_rate_100thousand_age_standardized,
y = fct_rev(income),
fill = income) +
geom_density_ridges() +
theme_few()+
theme(plot.caption = element_text(size = 13L),
legend.position = "right",
axis.title.x = element_text(vjust = -1),
axis.text.y = element_blank(),
axis.ticks.y = element_blank(),
axis.text.x = element_text(hjust = 0.5),
strip.text.x = element_text(size = 10,
color = "black")) +
facet_wrap(~year, scales = "free") +
labs(title = "Mortes por 100 mil habitantes, por continente",
subtitle = "Tuberculose",
x = "Mortes por 100 mil habitantes",
y = "",
fill = "Renda") +
scale_fill_jama()
No gráfico abaixo, veja que a maioria dos Top 10 países com maior número de mortes por tuberculose deixaram de ser aqueles de alta renda e se concentraram nos de baixa e média renda, ao longo dos anos. Alguns países aparentemente tiveram surtos da doença, com números elevados de mortes, como as Filipinas em 1992, e a África do Sul, em 2007.
gapminder_mortes %>%
filter(year %in% c(1972, 1982, 1992, 2007),
death_disease == "Tuberculosis") %>%
group_by(year) %>%
arrange(desc(death_rate_100thousand_age_standardized)) %>%
slice_head(n = 10) %>%
ungroup()%>%
ggplot() +
aes(x = death_rate_100thousand_age_standardized,
y = fct_reorder(country, death_rate_100thousand_age_standardized),
fill = income) +
geom_col() +
theme_few()+
theme(plot.caption = element_text(size = 13L),
legend.position = "right",
axis.text.x = element_text(angle = 90,
size = 5),
strip.text.y = element_text(angle = 0,
hjust = 0)) +
facet_wrap(~year, scales = "free") +
labs(title = "Mortes por 100 mil habitantes, por país e renda",
subtitle = "Tuberculose",
x = "Mortes por 100 mil habitantes",
y = "",
fill = "Renda") +
scale_fill_jama()
Além disso, podemos visualizar essa associação ao plotarmos as mortes por tuberculose em relação ao PIB per capita. Notamos que, embora a correlação entre as mortes e o PIB per capita seja intermediária, houve uma redução gradual dessa correlação entre 1952 e 2007. Essa redução pode ser atribuída, em grande parte, ao aumento da cobertura vacinal, como discutido anteriormente.
gapminder_mortes %>%
filter(year <= 2007) %>%
filter(death_disease == "Tuberculosis") %>%
ggplot() +
aes(x = gdpPercap,
y = death_rate_100thousand_age_standardized) +
geom_point(shape = "circle",
aes(colour = income,
size = pop),
alpha = 0.2) +
scale_x_continuous(trans = "log10",
labels = scales::unit_format(unit = "k",
scale = 1e-3)) +
geom_smooth(method = "lm",
color = "black",
se = F) +
stat_correlation(method = "pearson",
size = 3,
mapping = use_label(c("R", "R2", "n"))) +
facet_wrap(~year, scales = "free") +
theme_few() +
labs(title = "PIB per capita e Mortes por doenças imunopreveníveis",
subtitle = "Tuberculose",
x = "PIB per capita",
y = "Mortes por 100 mil habitantes",
color = "Renda",
shape = "População") +
scale_color_jama()
Testando correlações entre mais pares de variáveis.
gapminder_mortes %>%
filter(year <= 2007,
death_disease == "Tuberculosis") %>%
ggpairs(columns = c("year",
"lifeExp",
"pop",
"gdpPercap",
"death_rate_100thousand_age_standardized"),
columnLabels = c("Ano",
"Expectativa de vida",
"População",
"PIB per capita",
"Mortes/100k Hab."),
mapping = aes(color = continent, alpha = 0.5)) +
theme_linedraw() +
theme(panel.grid.major = element_blank(),
panel.grid.minor = element_blank())+
labs(title = "Tuberculose",
subtitle = "Variáveis demográficas e mortalidade") +
scale_color_jama() +
scale_fill_jama()
Gráficos dinâmicos
O gráfico de forma estática já nos mostrou muito sobre o comportamento dos dados, mas podemos explorá-los de forma mais dinâmica com uma animação. Para isso, usaremos o pacote gganimate e separaremos os continentes em facets.